15+ Laporan Praktikum Uji Biokimia Asam Amino Dan Protein

» » 15+ Laporan Praktikum Uji Biokimia Asam Amino Dan Protein

Laporan Praktikum Uji Biokimia Asam Amino Dan Protein - Selasa 03 Maret 2015 Tgl. Laporan Praktikum Biokimia Asam Amino Protein dan Uji spesifik. Asam-asam kuat yang ditambahkan ke larutan protein menyebabkan suatu denaturasi irreversibel protein.

Laporan praktikum uji biokimia asam amino dan protein. Mahasiswa mampu mengidentifikasi sampel mengandung asam amino protein melalui uji Ninhidrin uji Biuret uji Xantoprotein. Laporan Biokimia Asam Amino dan Protein Uji Spesifik. PENDAHULUAN Latar Belakang Protein adalah senyawa organik yang mempunyai berat molekul besar. Sri Ayu Wulandari.

Laporan Praktikum Biokimia 1 Uji Koagula Laporan Praktikum Biokimia 1 Uji Koagula From 123dok.com

Makalah tentang akuntansi biaya pdf Makalah tentang narkoba lengkap dengan daftar isi Makalah studi kasus kesulitan belajar Makalah tentang hukum perdata pdf

Protein adalah suatu senyawa organik yang mempunyai berat molekul besar antara ribuan hingga jutaan satuangmol. Laporan Praktikum Asam Amino dan Protein Pdf Tuesday August 7 2018 Add Comment Edit. Proses kimia dalam tubuh dapat berlangsung dengan baik karena adanya enzim suatu protein yang berfungsi. LAPORAN BIOKIMIA PRAKTIKUM PROTEIN Uji Unsur-Unsur Protein Uji Kelarutan Albumin Uji Biuret dan Uji Ninhidrin Fauziah Khoirun Nisa 17030244003 Biologi 2017 D UNIVERSITAS NEGERI SURABAYA FAKULTAS MATEMATIKA DAN ILMU PENGETAHUAN ALAM BIOLOGI 20172018. 1 Nama Asisten. Protein dan Asam Amino-4001418007-Lailatul Fitriyah by Rombel 1 Pendidikan IPA 2018 UNNES 3 months ago 21 minutes 7 views Video Praktikum Uji Protein dan Asam Amino Uji Biuret menggunakan Virtual Lab dan Uji Xantoproteat Mata Kuliah Biokimia.

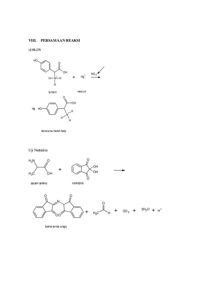
LAPORAN PRAKTIKUM BIOKIMIA identifikasi asam amino dan protein Ami Minarni polipeptida ke dalam struktur teratur misalnya alfa heliks dan lembaran terlipat beta pleated sheet.

Idris Affandi NIM. Praktikum Kimia - Uji Protein 1. Laporan Praktikum Biokimia Identifikasi Asam Amino dan Protein. P rotein tersus u n atas asam-asam alfa amino susunan kimianya mengandung unsure-unsur seperti yang terdapat dalam asam alfa amino penyusunnya yaitu karbon oksigen hydrogen nitrogen. Laporan biokimia asam amino protein 1. Download Laporan Praktikum Uji Protein dan landasan teori mengenai Uji Protein lengkap dengan pembahasan dalam format PDF.

Laporan Praktikum Biokimia 1 Uji Koagula Source: 123dok.com

Protein dan Asam Amino-4001418007-Lailatul Fitriyah by Rombel 1 Pendidikan IPA 2018 UNNES 3 months ago 21 minutes 7 views Video Praktikum Uji Protein dan Asam Amino Uji Biuret menggunakan Virtual Lab dan Uji Xantoproteat Mata Kuliah Biokimia. Laporan praktikum biokimia umum ersit niv a u s oleh nama. LAPORAN PRAKTIKUM BIOKIMIA identifikasi asam amino dan protein Ami Minarni polipeptida ke dalam struktur teratur misalnya alfa heliks dan lembaran terlipat beta pleated sheet. Ambar Puspita Madyaningratri 10060313055. Asam-asam kuat yang ditambahkan ke larutan protein menyebabkan suatu denaturasi irreversibel protein.

Laporan Praktikum Uji Asam Amino Source: slideshare.net

Protein tersusun dari atom-atom CHO dan N ditambah beberapa unsur lainnya seperti P dan S. 2031411024 Judul Praktikum. Irma Astri Pebriliani 10060313056. Protein adalah suatu senyawa organik yang mempunyai berat molekul besar antara ribuan hingga jutaan satuangmol. Praktikum Kimia - Uji Protein 1.

Laporan Praktikum Uji Asam Amino Source: slideshare.net

Selasa 10 Maret 2015 LABORATORIUM. Makassar Anonim 2015 Penuntun dan Laporan. April 19th 2018 - Laporan Praktikum Biokimia Protein Asam Amino Dan Protein Melalui Uji Uji Kualitatif Serta Mempelajari Beberapa Reaksi Uji Terhadap Asam Amino Dan ProteinBiokimia Wikipedia bahasa Indonesia ensiklopedia bebas 13 23. Laporan Praktikum Biokimia Protein dan Asam Amino BAB I. Mahasiswa mampu memahami dan melakukan analisis asam amino protein.

Protein Reaksi Uji Terhadap Asam Amino D 1 Source: 123dok.com

Ambar Puspita Madyaningratri 10060313055. Protein dan Asam Amino-4001418007-Lailatul Fitriyah by Rombel 1 Pendidikan IPA 2018 UNNES 3 months ago 21 minutes 7 views Video Praktikum Uji Protein dan Asam Amino Uji Biuret menggunakan Virtual Lab dan Uji Xantoproteat Mata Kuliah Biokimia. UJI PROTEIN TUJUAN TEORI ALAT DAN BAHAN CARA KERJA HASIL PENGAMATAN PERTANYAAN KESIMPULAN 3. 28 November 2015 Dosen Praktikum PancawatiSsi. Selasa 03 Maret 2015 Tgl.

Laporan Biokimia Asam Amino Protein Source: slideshare.net

Laporan Praktikum Biokimia Identifikasi Asam Amino dan Protein. Mahasiswa mampu mengidentifikasi sampel mengandung asam amino protein melalui uji Ninhidrin uji Biuret uji Xantoprotein. Laporan Praktikum Asam Amino dan Protein Pdf Tuesday August 7 2018 Add Comment Edit. Laporan Praktikum Biokimia Asam Amino Protein dan Uji spesifik. Nama dan NPM.

Laporan Praktikum Biokimia Asam Amino Dan Protein Seputar Laporan Source: seputaranlaporan.blogspot.com

Laporan Praktikum ini merupakan kelanjutan dari Laporan Praktikum biologi yang pernah admin bahas minggu lalu laporan ini admin susun dari berbagai sumber agar informasi yang di berikan lebih banyak. Proses kimia dalam tubuh dapat berlangsung dengan baik karena adanya enzim suatu protein yang berfungsi. Buat sobat-sobat yang memerlukan contoh laporan Praktikum Biokimia tentang Reaksi Uji Asam Amino Dan Protein beserta pembahasannya lengkap Disini saya postingkan untuk membantu sobat-sobat semua. Mahasiswa mampu mengidentifikasi sampel mengandung asam amino protein melalui uji Ninhidrin uji Biuret uji Xantoprotein. Protein dan Asam Amino-4001418007-Lailatul Fitriyah by Rombel 1 Pendidikan IPA 2018 UNNES 3 months ago 21 minutes 7 views Video Praktikum Uji Protein dan Asam Amino Uji Biuret menggunakan Virtual Lab dan Uji Xantoproteat Mata Kuliah Biokimia.

Doc Laporan Praktikum Biokimia 1 Uji Asam Amino Anggi Febrianti Academia Edu Source: academia.edu

28 November 2015 Dosen Praktikum PancawatiSsi. 1 Nama Asisten. Laporan biokimia asam amino protein 1. Atom-atom itu membentuk unit-unit asam amino. Tri Marleni 10060313057.

Laporan Praktikum Uji Kandungan Protein Source: id.scribd.com

Atom-atom itu membentuk unit-unit asam amino. LAPORAN PRAKTIKUM BIOKIMIA PERCOBAAN KE III IDENTIFIKASI PROTEIN Disusun Oleh. Asam-asam kuat yang ditambahkan ke larutan protein menyebabkan suatu denaturasi irreversibel protein. Pengujian asam amino dan protein ada 10 macam yang dilaksanakan pada praktikum ini yaitu kelarutan asam-asam amino reaksi ninhidrin reaksi xanthoprotein kurva titrasi asam amino uji biuret denaturasi protein oleh logam berat pengendapan protein dengan logam berat pengendapan. Mahasiswa mampu memahami dan melakukan analisis asam amino protein.

Doc Asam Amino Dan Protein Riri Nurul Academia Edu Source: academia.edu

Buat sobat-sobat yang memerlukan contoh laporan Praktikum Biokimia tentang Reaksi Uji Asam Amino Dan Protein beserta pembahasannya lengkap Disini saya postingkan untuk membantu sobat-sobat semua. Nama dan NPM. Laporan Praktikum Biokimia Asam Amino Protein dan Uji spesifik. Idris Affandi NIM. Ramli Maulana Latief 10060313058 Shift.

Laporan Praktikum Uji Protein Source: id.scribd.com

DAFTAR PUSTAKA Anonim 2013 Kimia Dasar Universitas Hasanuddin. LAPORAN PRAKTIKUM BIOKIMIA identifikasi asam amino dan protein Ami Minarni polipeptida ke dalam struktur teratur misalnya alfa heliks dan lembaran terlipat beta pleated sheet. Ramli Maulana Latief 10060313058 Shift. 1 Nama Asisten. Idris Affandi NIM.

Laporan Praktikum Uji Asam Amino Source: slideshare.net

UJI PROTEIN TUJUAN TEORI ALAT DAN BAHAN CARA KERJA HASIL PENGAMATAN PERTANYAAN KESIMPULAN 3. 1 Nama Asisten. Ambar Puspita Madyaningratri 10060313055. Nama dan NPM. Selain penambahan asam-asam kuat dapat juga dilakukan penambahann logam penambahan alkohol dan melakukan.

Biokimia Asam Amino Dan Protein Source: id.scribd.com

Protein adalah suatu senyawa organik yang mempunyai berat molekul besar antara ribuan hingga jutaan satuangmol. Asam-asam kuat yang ditambahkan ke larutan protein menyebabkan suatu denaturasi irreversibel protein. LAPORAN BIOKIMIA PRAKTIKUM PROTEIN Uji Unsur-Unsur Protein Uji Kelarutan Albumin Uji Biuret dan Uji Ninhidrin Fauziah Khoirun Nisa 17030244003 Biologi 2017 D UNIVERSITAS NEGERI SURABAYA FAKULTAS MATEMATIKA DAN ILMU PENGETAHUAN ALAM BIOLOGI 20172018. Selasa 03 Maret 2015 Tgl. 1 Nama Asisten.

Laporan Praktikum Reaksi Asam Amino Dan Protein Source: id.scribd.com

Ambar Puspita Madyaningratri 10060313055. Praktikum Kimia - Uji Protein 1. Pengujian asam amino dan protein ada 10 macam yang dilaksanakan pada praktikum ini yaitu kelarutan asam-asam amino reaksi ninhidrin reaksi xanthoprotein kurva titrasi asam amino uji biuret denaturasi protein oleh logam berat pengendapan protein dengan logam berat pengendapan. Mifta nur rahmat stambuk. Proses kimia dalam tubuh dapat berlangsung dengan baik karena adanya enzim suatu protein yang berfungsi.

Laporan Praktikum Biokimia Source: studylibid.com

Nama dan NPM. Proses kimia dalam tubuh dapat berlangsung dengan baik karena adanya enzim suatu protein yang berfungsi. Nama dan NPM. LAPORAN PRAKTIKUM BIOKIMIA identifikasi asam amino dan protein Ami Minarni polipeptida ke dalam struktur teratur misalnya alfa heliks dan lembaran terlipat beta pleated sheet. Laporan Praktikum Biokimia Protein dan Asam Amino BAB I.

Laporan Praktikum Biokimia 1 Uji Asam Am Source: 123dok.com

Selain penambahan asam-asam kuat dapat juga dilakukan penambahann logam penambahan alkohol dan melakukan. Protein Tanggal Praktikum. Buat sobat-sobat yang memerlukan contoh laporan Praktikum Biokimia tentang Reaksi Uji Asam Amino Dan Protein beserta pembahasannya lengkap Disini saya postingkan untuk membantu sobat-sobat semua. Selasa 03 Maret 2015 Tgl. DAFTAR PUSTAKA Anonim 2013 Kimia Dasar Universitas Hasanuddin.

Laporan Praktikum Biokimia Identifikasi Asam Amino Dan Protein Mencariilmugratis Source: mencariilmugratis.wordpress.com

P rotein tersus u n atas asam-asam alfa amino susunan kimianya mengandung unsure-unsur seperti yang terdapat dalam asam alfa amino penyusunnya yaitu karbon oksigen hydrogen nitrogen. Protein Tanggal Praktikum. Mahasiswa mampu mengidentifikasi sampel mengandung asam amino protein melalui uji Ninhidrin uji Biuret uji Xantoprotein. Idris Affandi NIM. Dalam kehidupan protein memegang peranan yang penting pula.

Laporan Hasil Praktikum Biokimia Analisis Asam Amino Source: id.scribd.com

Laporan Praktikum Biokimia Asam Amino Protein dan Uji spesifik. LAPORAN PRAKTIKUM BIOKIMIA identifikasi asam amino dan protein Ami Minarni polipeptida ke dalam struktur teratur misalnya alfa heliks dan lembaran terlipat beta pleated sheet. Tri Marleni 10060313057. DAFTAR PUSTAKA Anonim 2013 Kimia Dasar Universitas Hasanuddin. Mahasiswa mampu memahami dan melakukan analisis asam amino protein.

Laporan Biokimia Praktikum Protein Uji Unsur Unsur Protein Uji Kela Source: slideshare.net

DAFTAR PUSTAKA Anonim 2013 Kimia Dasar Universitas Hasanuddin. 1 Nama Asisten. Proses kimia dalam tubuh dapat berlangsung dengan baik karena adanya enzim suatu protein yang berfungsi. Tri Marleni 10060313057. Irma Astri Pebriliani 10060313056.

This site is an open community for users to share their favorite wallpapers on the internet, all images or pictures in this website are for personal wallpaper use only, it is stricly prohibited to use this wallpaper for commercial purposes, if you are the author and find this image is shared without your permission, please kindly raise a DMCA report to Us.

If you find this site convienient, please support us by sharing this posts to your preference social media accounts like Facebook, Instagram and so on or you can also save this blog page with the title laporan praktikum uji biokimia asam amino dan protein by using Ctrl + D for devices a laptop with a Windows operating system or Command + D for laptops with an Apple operating system. If you use a smartphone, you can also use the drawer menu of the browser you are using. Whether it’s a Windows, Mac, iOS or Android operating system, you will still be able to bookmark this website.