14++ Rpp Teks Laporan Hasil Observasi Kelas 10 K13

» » 14++ Rpp Teks Laporan Hasil Observasi Kelas 10 K13

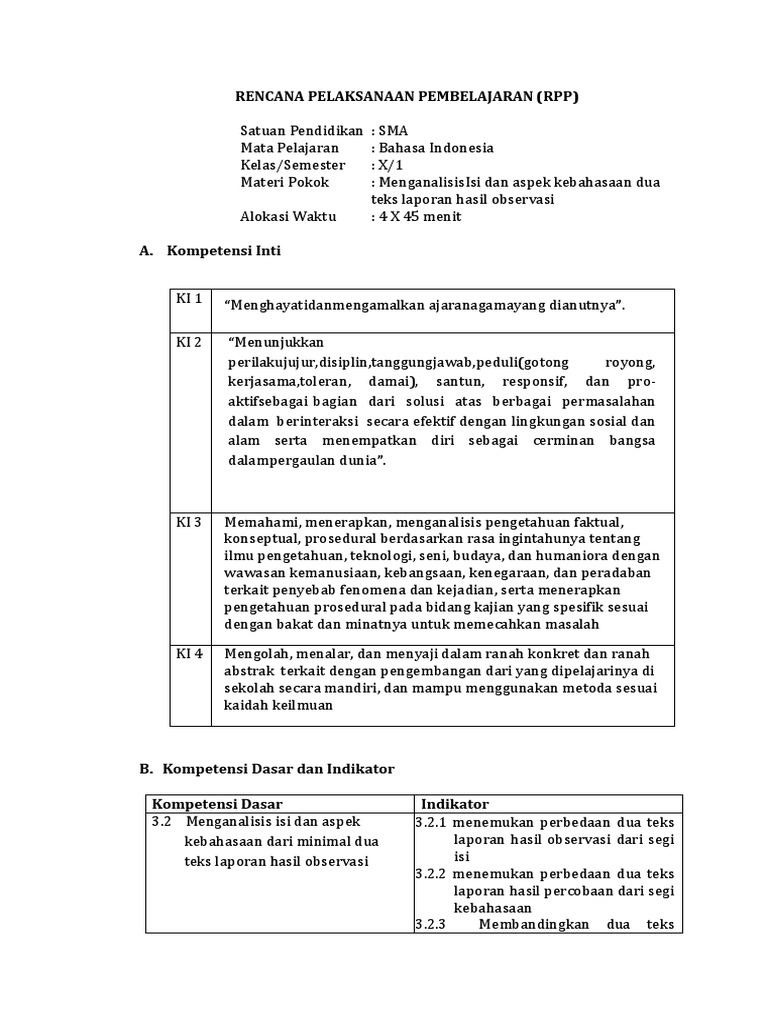
Rpp Teks Laporan Hasil Observasi Kelas 10 K13 - 312 Mampu menjelaskan struktur teks hasil laporan observasi. Merevisi Laporan Hasil Observasi. Pada kesempatan kali ini saya ingin memposting RPP kurikulum 2013 K13 untuk SMA kelas X.

Rpp teks laporan hasil observasi kelas 10 k13. Menjelaskan isi yang dibahas pada teks laporan hasil observasi. Guru SD SMP SMA - contoh soal teks laporan hasil observasi smp kelas. RPP Bahasa Indonesia Wajib Kurikulum 2013 kelas X semester. Home RPP KURIKULUM 2013 REVISI 2017 RPP TEKS LAPORAN HASIL OBSERVASI KD 31 DAN 41 KELAS X SEMESTER 1 DILENGKAPI PPK LITERASI 4C HOTS.

Rpp Teks Laporan Hasil Observasi Daring Bahasa Indonesia Kelas 10 Mata Pendidikan Rpp Teks Laporan Hasil Observasi Daring Bahasa Indonesia Kelas 10 Mata Pendidikan From matapendidikan.com

Contoh makalah calon kepala sekolah smp Contoh makalah etika dan tanggung jawab profesi hukum Contoh makalah bahasa indonesia tentang cerpen Contoh makalah kasus korupsi terbaru

Menalar dan menyajikan informasi lisan dan tulis melalui teks anekdot laporan hasil observasi prosedur kompleks eksposisi dan negosiasi 21 Menunjukkan sikap tanggung jawab peduliresponsif dan santun dalam. Contoh File RPP dan Silabus Bahasa Indonesia Kelas 8 K13 Lengkap Berikut ini adalah kumpulan dari berbagi sumber tentang contoh soal teks laporan hasil observasi smp kelas 7 yang bisa gunakan untuk RPP dan Silabus Bahasa Indonesia Kelas 8 K13 Lengkap dan diunduh secara gratis dengan menekan tombol download biru dibawah ini. 42Melaksanakan percobaan dan menyusun laporan hasil percobaan tentang cara kerja enzim fotosintesis respirasi anaerob secara tertulis dengan berbagai media. Soal Kimia UN SMA 2018 beserta jawabannya. Posting Komentar Atom. Menganalisis Kebahasaan Teks Laporan Hasil Observasi.

Bahasa Inggris Kelas VIII K13 Revisi 2017.

RPP 10 RPP Kelas 11 SMA Kurikulum 2013 Revisi 20172018 Berkas Edukasi RPP 10. MasbabalComRPP 1 Lembar Bahasa Indonesia Kelas 10 Tahun 2020-2021 merupakan RPP Terbaru Tahun 2020 akan menjadi perubahan penting Guru Dituntut sendiri dalam mengembangkan RPP Rencana Pelaksanaan Pembelajaran. Alat dan bahan Teks Laporan Hasil Observasi c. 0 Response to RPP Teks laporan hasil observasi Kelas X Posting Komentar. Latihan Soal PATUKK Bahasa Indonesia Kelas 10 SMA 2021 K13 dan Jawaban semester 2 - Bahasa Indonesia merupakan mata pelajaran yang akan sobat hadapi di PATTidak terkhusus untuk satu jurusan melainkan semuanya mulai dari IPAIPSBahasa. Posting Lebih Baru Posting Lama Beranda.

391659496 Contoh Rpp K13 Bahasa Indonesia Teks Laporan Hasil Observasi Lho Terbaru Disertai Literasi Ppk 4c Dan Hots 2019 Docx Source: id.scribd.com

RPP 1 Lembar SMA dan Contoh RPP 1 Lembar SMA Tahun 2020 akan menjadi perubahan penting Guru Dituntut sendiri dalam mengembangkan RPP Rencana Pelaksanaan Pembelajaran. RPP BAHASA INDONESIA Kelas 10 Kurikulum 2013 Revisi 2017 merupakan hasil revisi dari dari RPP BAHASA INDONESIA sebelumnya yang telah disempurnakan. MATERI BAHASA INDONESIA K13 KELAS 10 SEMESTER 1. Menganalisis Kebahasaan Teks Laporan Hasil Observasi. Tujuan Pembelajaran Melalui pendekatan saintifik peserta didik diharapkan dapat.

Contoh Rpp Teks Laporan Hasil Observasi Kelas X Kumpulan Contoh Laporan Source: cantohlaporanmu.blogspot.com

Apa itu teks laporan hasil observasi. Menalar dan menyajikan informasi lisan dan tulis melalui teks anekdot laporan hasil observasi prosedur kompleks eksposisi dan negosiasi 21 Menunjukkan sikap tanggung jawab peduliresponsif dan santun dalam. Mengonstruksi Teks Laporan Hasil Observasi. Bagi bapakibu guru serumpun yang membutuhkan RPP untuk materi teks Laporan Hasil Observasi LHO mungkin RPP yang saya buat ini bisa membantu dalam hal referensi dalam pembuatan RPP. Home RPP KURIKULUM 2013 REVISI 2017 RPP TEKS LAPORAN HASIL OBSERVASI KD 31 DAN 41 KELAS X SEMESTER 1 DILENGKAPI PPK LITERASI 4C HOTS.

Rpp Bahasa Indonesia Kelas 10 J Teks Laporan Hasil Observasi Source: id.scribd.com

Download RPP PKn Kelas VIII Kurikulum 2013 Revisi 2017 SILABUS PERMENDIKBUD NOMOR 24 TAHUN 2016 TENTANG. RPP Bahasa Indonesia Wajib Kurikulum 2013 kelas X semester. Guru SD SMP SMA - contoh soal teks laporan hasil observasi smp kelas 7. Menjelaskan isi yang dibahas pada teks laporan hasil observasi. Contoh File RPP dan Silabus Bahasa Indonesia Kelas 8 K13 Lengkap Berikut ini adalah kumpulan dari berbagi sumber tentang contoh soal teks laporan hasil observasi smp kelas 7 yang bisa gunakan untuk RPP dan Silabus Bahasa Indonesia Kelas 8 K13 Lengkap dan diunduh secara gratis dengan menekan tombol download biru dibawah ini.

Kelas 10 Rpp Revis 2017 Source: slideshare.net

RPP 10 RPP Kelas 11 SMA Kurikulum 2013 Revisi 20172018 Berkas Edukasi RPP 10. Mengonstruksi Teks Laporan Hasil Observasi. RPP BAHASA INDONESIA Kelas 10 Kurikulum 2013 Revisi 2017 merupakan hasil revisi dari dari RPP BAHASA INDONESIA sebelumnya yang telah disempurnakan. RPP 10 RPP Kelas 11 SMA Kurikulum 2013 Revisi 20172018 Berkas Edukasi RPP 10. Menunjukkan bukti teks sebagai ciri isi teks laporan hasil observasi.

Contoh Rpp Teks Laporan Hasil Observasi Smp Kelas Vii Source: id.scribd.com

Guru SD SMP SMA - contoh soal teks laporan hasil observasi smp kelas. Merevisi Laporan Hasil Observasi. Mengonstruksi Teks Laporan Hasil Observasi. Guru SD SMP SMA - contoh soal teks laporan hasil observasi smp kelas. RPP K13 Biologi Kelas X SMA Hasil Revisi Terbaru.

Contoh Rpp Teks Laporan Hasil Observasi Kumpulan Contoh Cute766 Source: cute766.info

RPP 10 RPP Kelas 11 SMA Kurikulum 2013 Revisi 20172018 Berkas Edukasi RPP 10. RPP BAHASA INDONESIA Kelas 10 Kurikulum 2013 Revisi 2017 merupakan hasil revisi dari dari RPP BAHASA INDONESIA sebelumnya yang telah disempurnakan. Secara singkat adalah teks yang menjabarkan. Guru SD SMP SMA - contoh soal teks laporan hasil observasi smp kelas 7. Download RPP PKn Kelas VIII Kurikulum 2013 Revisi 2017 SILABUS PERMENDIKBUD NOMOR 24 TAHUN 2016 TENTANG.

Menginterpretasi Teks Laporan Hasil Observasi Kd 3 1 Dan 4 1 Kelas 10 Sma Cute766 Source: cute766.info

RPP IPA TERBARU KELAS VII K13 310 Pemanasan Globa. Apa itu teks laporan hasil observasi. Bagi bapakibu guru serumpun yang membutuhkan RPP untuk materi teks Laporan Hasil Observasi LHO mungkin RPP yang saya buat ini bisa membantu dalam hal referensi dalam pembuatan RPP. Rencana pelaksanaan pembelajaran RPP 1 lembar mata pelajaran bahasa indonesia kelas x SMAMA materi teks laporan hasil observasi LHO semester 1ganjil tahun pelajaran 20202021. Sumber Belajar Zabadi Fairul.

Rpp Teks Laporan Hasil Observasi Daring Bahasa Indonesia Kelas 10 Mata Pendidikan Source: matapendidikan.com

Bahasa Inggris Kelas VIII K13 Revisi 2017. Alat dan bahan Teks Laporan Hasil Observasi c. RPP Teks Laporan Hasil Observasi merupakan RPP 1 Lembar jenis Daring RPP Bahasa Indonesia yang dibuat ini adalah RPP daring untuk dipakai pada masa pandemi viruus covid 19 materi yang dibahas pada rpp ini adalah Teks Laporan Hasil ObservasiDalam pembelajaran pada RPP ini menggunakan Aplikasi E-Learning Madrasah untuk membantu penyelenggaraan proses pembelejaran online. Sebagai seorang guru tentu harus memiliki sebuah perangkat. RPP 1 Lembar SMA dan Contoh RPP 1 Lembar SMA Tahun 2020 akan menjadi perubahan penting Guru Dituntut sendiri dalam mengembangkan RPP Rencana Pelaksanaan Pembelajaran.

Rpp Revisi 2017 Bahasa Indonesia Wajib Kelas 10 Sma Source: slideshare.net

312 Mampu menjelaskan struktur teks hasil laporan observasi. 0 Response to RPP Teks laporan hasil observasi Kelas X Posting Komentar. Tiga komponen inti RPP 1 Lembar terdiri dari. Media Alat dan Sumber Belajar a. Pada kesempatan kali ini saya ingin memposting RPP kurikulum 2013 K13 untuk SMA kelas X.

Contoh Rpp Teks Laporan Hasil Observasi Kelas X Kumpulan Contoh Laporan Source: cantohlaporanmu.blogspot.com

RPP Bahasa Indonesia Wajib Kurikulum 2013 kelas X semester. 42Melaksanakan percobaan dan menyusun laporan hasil percobaan tentang cara kerja enzim fotosintesis respirasi anaerob secara tertulis dengan berbagai media. Home RPP KURIKULUM 2013 REVISI 2017 RPP TEKS LAPORAN HASIL OBSERVASI KD 31 DAN 41 KELAS X SEMESTER 1 DILENGKAPI PPK LITERASI 4C HOTS. Secara singkat adalah teks yang menjabarkan. BAB II MENGEMBANGKAN PENDAPAT DALAM EKSPOSISI.

Tema 3 Kd 3 1 Dan 4 1 Teks Observasi Source: slideshare.net

Menalar dan menyajikan informasi lisan dan tulis melalui teks anekdot laporan hasil observasi prosedur kompleks eksposisi dan negosiasi 21 Menunjukkan sikap tanggung jawab peduliresponsif dan santun dalam. Menginterpretasi Laporan Hasil Observasi. Download RPP PKn Kelas VIII Kurikulum 2013 Revisi 2017 SILABUS PERMENDIKBUD NOMOR 24 TAHUN 2016 TENTANG. Bagi bapakibu guru serumpun yang membutuhkan RPP untuk materi teks Laporan Hasil Observasi LHO mungkin RPP yang saya buat ini bisa membantu dalam hal referensi dalam pembuatan RPP. RPP BAHASA INDONESIA Kelas 10 Kurikulum 2013 Revisi 2017 merupakan hasil revisi dari dari RPP BAHASA INDONESIA sebelumnya yang telah disempurnakan.

Contoh Rpp Teks Laporan Hasil Observasi Kelas X Kumpulan Contoh Laporan Source: cantohlaporanmu.blogspot.com

Latihan Soal PATUKK Bahasa Indonesia Kelas 10 SMA 2021 K13 dan Jawaban semester 2 - Bahasa Indonesia merupakan mata pelajaran yang akan sobat hadapi di PATTidak terkhusus untuk satu jurusan melainkan semuanya mulai dari IPAIPSBahasa. Contoh File Download RPP KKM Panduan RPP Program Tahunan Program Semester dan SD_KD dan Semua Mata Pelajaran Untuk SMP MTs Berikut ini adalah kumpulan dari berbagi sumber tentang contoh soal teks laporan hasil observasi smp kelas yang bisa gunakan untuk PENDIDIKAN DAN GURURPP KURTILAS dan diunduh secara gratis. RPP K13 Biologi Kelas X SMA Hasil Revisi Terbaru. MATERI BAHASA INDONESIA K13 KELAS 10 SEMESTER 1. Guru SD SMP SMA - contoh soal teks laporan hasil observasi smp kelas 7.

Pdf Contoh Rpp Laporan Hasil Observasi Smp Kelas Vii Isnaini Shaleh Academia Edu Source: academia.edu

Tujuan Pembelajaran Melalui pendekatan saintifik peserta didik diharapkan dapat. Rencana pelaksanaan pembelajaran RPP 1 lembar mata pelajaran bahasa indonesia kelas x SMAMA materi teks laporan hasil observasi LHO semester 1ganjil tahun pelajaran 20202021. Perihal Ucapan Terima Kasih dalam Bahasa Indones. Bahasa Inggris Kelas VIII K13 Revisi 2017. Bagi bapakibu guru serumpun yang membutuhkan RPP untuk materi teks Laporan Hasil Observasi LHO mungkin RPP yang saya buat ini bisa membantu dalam hal referensi dalam pembuatan RPP.

Contoh Rpp Teks Laporan Hasil Observasi Berbagai Teks Penting Source: berbagaiteks.blogspot.com

312 Mampu menjelaskan struktur teks hasil laporan observasi. Contoh File Download RPP KKM Panduan RPP Program Tahunan Program Semester dan SD_KD dan Semua Mata Pelajaran Untuk SMP MTs Berikut ini adalah kumpulan dari berbagi sumber tentang contoh soal teks laporan hasil observasi smp kelas yang bisa gunakan untuk PENDIDIKAN DAN GURURPP KURTILAS dan diunduh secara gratis. Media Alat dan Sumber Belajar a. Semoga bisa bermanfaat bagi BapakIbu Guru di seluruh Indonesia. RPP K13 Matematika Kelas 7 Semester 1 dan 2.

Rpp B Indo Kelas 10 Rev 2018 3 2 Dan 4 2 Teks Laporan Hasil Obervasi Source: studylibid.com

Bahasa Inggris Kelas VIII K13 Revisi 2017. Media 1 Kartu Penggalan Struktur isi Teks Laporan Hasil Observasi 2 Surat kabarmajalah dan koran 3 LCD 4 Laptop b. Perihal Ucapan Terima Kasih dalam Bahasa Indones. MasbabalComRPP 1 Lembar Bahasa Indonesia Kelas 10 Tahun 2020-2021 merupakan RPP Terbaru Tahun 2020 akan menjadi perubahan penting Guru Dituntut sendiri dalam mengembangkan RPP Rencana Pelaksanaan Pembelajaran. Menganalisis Kebahasaan Teks Laporan Hasil Observasi.

Contoh Rpp Teks Laporan Hasil Observasi Kumpulan Contoh Laporan Source: cantohlaporanmu.blogspot.com

42Melaksanakan percobaan dan menyusun laporan hasil percobaan tentang cara kerja enzim fotosintesis respirasi anaerob secara tertulis dengan berbagai media. 312 Mampu menjelaskan struktur teks hasil laporan observasi. Posting Komentar Atom. Contoh File RPP dan Silabus Bahasa Indonesia Kelas 8 K13 Lengkap Berikut ini adalah kumpulan dari berbagi sumber tentang contoh soal teks laporan hasil observasi smp kelas 7 yang bisa gunakan untuk RPP dan Silabus Bahasa Indonesia Kelas 8 K13 Lengkap dan diunduh secara gratis dengan menekan tombol download biru dibawah ini. Tujuan Pembelajaran Melalui pendekatan saintifik peserta didik diharapkan dapat.

Rpp Revisi 2017 Bahasa Indonesia 10 Smk Source: slideshare.net

RPP yang Kami bagikan ini adalah RPP 1 Lembar Bahasa Indonesia Kelas X Materi Isi pokok teks laporan hasil observasi. RPP BAHASA INDONESIA Kelas 10 Kurikulum 2013 Revisi 2017 merupakan hasil revisi dari dari RPP BAHASA INDONESIA sebelumnya yang telah disempurnakan. Latihan Soal PATUKK Bahasa Indonesia Kelas 10 SMA 2021 K13 dan Jawaban semester 2 - Bahasa Indonesia merupakan mata pelajaran yang akan sobat hadapi di PATTidak terkhusus untuk satu jurusan melainkan semuanya mulai dari IPAIPSBahasa. Soal Kimia UN SMA 2018 beserta jawabannya. Media 1 Kartu Penggalan Struktur isi Teks Laporan Hasil Observasi 2 Surat kabarmajalah dan koran 3 LCD 4 Laptop b.

Contoh Rpp Teks Laporan Hasil Observasi Kelas X Kumpulan Contoh Laporan Source: cantohlaporanmu.blogspot.com

Media Alat dan Sumber Belajar a. Contoh File RPP dan Silabus Bahasa Indonesia Kelas 8 K13 Lengkap Berikut ini adalah kumpulan dari berbagi sumber tentang contoh soal teks laporan hasil observasi smp kelas 7 yang bisa gunakan untuk RPP dan Silabus Bahasa Indonesia Kelas 8 K13 Lengkap dan diunduh secara gratis dengan menekan tombol download biru dibawah ini. RPP 1 Lembar SMA dan Contoh RPP 1 Lembar SMA Tahun 2020 akan menjadi perubahan penting Guru Dituntut sendiri dalam mengembangkan RPP Rencana Pelaksanaan Pembelajaran. Media Alat dan Sumber Belajar a. Teks Laporan Hasil ObservasiLHO merupakan materi pelajaran bahasa Indonesia kelas 10X - Materi ini membahas antara lain.

This site is an open community for users to do sharing their favorite wallpapers on the internet, all images or pictures in this website are for personal wallpaper use only, it is stricly prohibited to use this wallpaper for commercial purposes, if you are the author and find this image is shared without your permission, please kindly raise a DMCA report to Us.

If you find this site helpful, please support us by sharing this posts to your preference social media accounts like Facebook, Instagram and so on or you can also save this blog page with the title rpp teks laporan hasil observasi kelas 10 k13 by using Ctrl + D for devices a laptop with a Windows operating system or Command + D for laptops with an Apple operating system. If you use a smartphone, you can also use the drawer menu of the browser you are using. Whether it’s a Windows, Mac, iOS or Android operating system, you will still be able to bookmark this website.